【喜讯】智能制造学院学子在2025广西大学生工程实践与创新能力大赛中喜获佳绩
  • 发布时间:2025-05-13
  • 点击数:

近期,由自治区教育厅主办、桂林电子科技大学承办的2025年广西大学生工程实践与创新能力大赛已成功落幕。在这次竞赛中,智能制造学院派出了186名学生参与,参赛人数位居第二,仅次于东道主桂林电子科技大学。

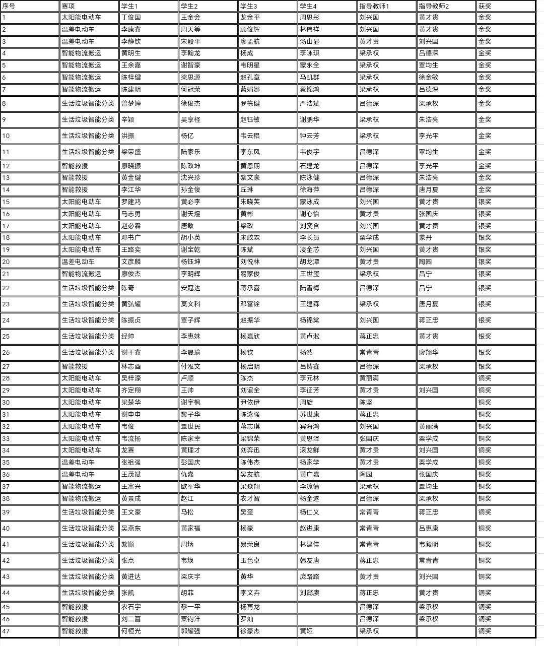
智能制造学院的参赛队伍在太阳能电动车、温差电动车、智能物流搬运、生活垃圾智能分类、智能救援五个赛项中表现出色,荣获金奖14项、银奖13项、铜奖20项。广西大学生工程实践与创新能力大赛是自治区教育厅在《自治区教育厅关于公布2025年广西高校大学生学科专业竞赛有关信息的通知》中指定的3个A类竞赛之一,这充分展示了智能制造学院一贯坚持的“以学生为中心,实践能力为先”的应用型本科教育理念。智能制造学院始终将学生实践能力锻造与创新思维培育作为应用型人才培养的双轮驱动,此次突破既是对办学初心的坚守,更是对教育使命的担当,彰显了在应用型人才培养过程中,学院对学生创新精神培育的体系化设计与持续性投入。

未来,智能制造学院将以此次大赛为契机,进一步深化产教融合协同育人机制,构建“赛教融合、以赛促创”的实践教学新生态,为广西智能制造产业输送更多具有工匠精神和创新能力的优秀人才。

(智能制造学院供稿 一审一校:韦玫羽 二审二校:甘巧丹 三审三校:刘波)

1746643233114

参赛师生合照


获奖情况

分享到: